科研动态

当前位置: 首页 > 科研动态

【科研成果】PA集团官网特聘副研究员宾倩在对称性保护的量子效应研究中取得重要进展​

发布日期:2025-05-21 点击量:

5月16日,物理学权威期刊《物理评论快报》(Physical Review Letters)在线刊发了PA集团官网特聘副研究员宾倩与合作者的最新研究成果,论文题目为《Experimental Observation of Parity-Symmetry-Protected Phenomena in the Quantum Rabi Model with a Trapped Ion》。该研究基于束缚离子体系,实验展示了量子拉比模型中宇称对称性保护的量子现象。中国科学技术大学博士研究生赵兴宇和pa集团官网入口特聘副研究员宾倩为该论文共同第一作者,中国科学技术大学林毅恒教授和华中科技大学吕新友教授为共同通讯作者。

对称性是物理学的核心概念之一,不仅构筑了诸多理论体系的基础,也在基础研究与实际应用之间架起桥梁。从氢原子光谱的精细结构解析,到量子相变、拓扑物态分类等前沿问题的研究,对称性始终贯穿于物理学发展的各个层面。作为描述光与物质相互作用的经典模型之一,量子拉比模型因其宇称对称性,使系统的动力学严格限制在守恒宇称的子空间中。该模型在量子光学、量子相变、临界动力学以及量子器件设计中具有广泛应用。尽管理论研究已预测宇称对称性的变化会显著影响系统行为,然而如何构建参数大范围可调的实验系统并观察与对称性紧密相关的现象是亟待研究的热点。

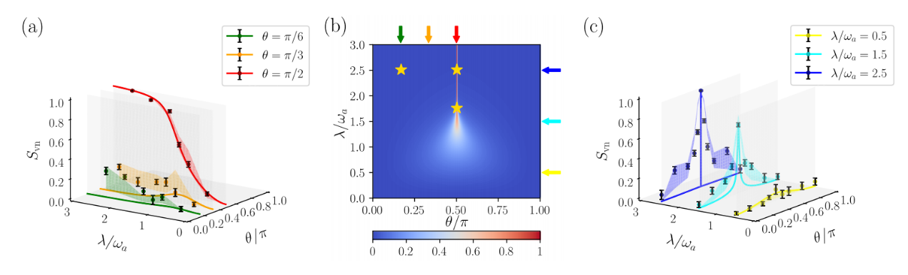
在本论文中,研究人员基于束缚离子体系中的自旋-声子耦合系统,实验模拟了一个高度可控的扩展量子拉比模型,实现了超强耦合区与深强耦合区的精确调控。一方面,提出并实现了一种直接探测系统对称性的方法。实验发现,在保持宇称对称性时,系统中出现奇数阶边带跃迁禁戒现象;而破缺对称性后,该禁戒特性消失。该方法不仅有效覆盖超强至深强耦合区,也可推广至其他物理平台。另一方面,实验观察到系统基态的纠缠和量子叠加等现象与系统宇称对称性之间的重要关联。在深强耦合区,当参数跨越对称性转变临界点时,自旋的冯·诺依曼熵与声子的维格纳函数均表现出显著的响应(图1所示),这一特性在量子精密测量和比特相干性研究等方面有潜在应用价值。这些研究为探索对称性调控的量子现象及其在高精度量子技术中的应用开辟了新途径。

图1. 自旋的冯·诺依曼熵随着对称性控制参数以及耦合强度的变化关系

该研究是宾倩及其合作者前期工作“宇称对称性保护的多光子束辐射“[Phys. Rev. Lett. 127, 073602 (2021)] 的拓展深化。

本工作得到了国家重点研发计划、国家自然科学基金等项目的资助。

论文链接:https://journals.aps.org/prl/abstract/10.1103/PhysRevLett.134.193604

地址:四川省成都市九眼桥望江路29号

电话:028-85412322(党政办)028-85412323(学科办)028-85415561(教务办)028-85410030(学生科)

邮编 :610064

关注我们

Copyright PA集团(中国区)·有限公司官网